Упр.981 ГДЗ Колягин Ткачёва 10 класс (Алгебра)
Решение #1
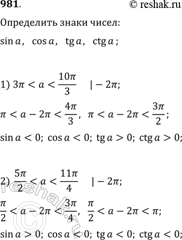
Решение #2

Рассмотрим вариант решения задания из учебника Колягин, Ткачёва, Фёдорова 10 класс, Просвещение:
981. Выяснить, каковы знаки чисел sin a, cosa, tga, ctga, если:
*размещая тексты в комментариях ниже, вы автоматически соглашаетесь с пользовательским соглашением