Упр.980 ГДЗ Колягин Ткачёва 10 класс (Алгебра)
Решение #1
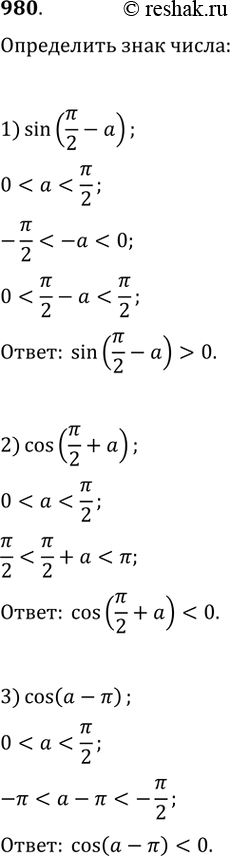
Решение #2

Рассмотрим вариант решения задания из учебника Колягин, Ткачёва, Фёдорова 10 класс, Просвещение:
980. Пусть 0 < a < пи/2. Определить знак числа:
*размещая тексты в комментариях ниже, вы автоматически соглашаетесь с пользовательским соглашением