Упр.973 ГДЗ Колягин Ткачёва 10 класс (Алгебра)
Решение #1
Решение #2

Рассмотрим вариант решения задания из учебника Колягин, Ткачёва, Фёдорова 10 класс, Просвещение:
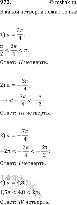
973. Выяснить, в какой четверти находится точка, полученная поворотом точки Р( 1; 0) на угол а, если:
1) а= 3пи/4;
2) а=-3пи/4;
3) а=-7пи/4;
4) а = 4,8.
*размещая тексты в комментариях ниже, вы автоматически соглашаетесь с пользовательским соглашением