Упр.924 ГДЗ Макарычев Миндюк 9 класс (Углубленный) (Алгебра)
Решение #1

Рассмотрим вариант решения задания из учебника Макарычев, Миндюк, Нешков 9 класс, Просвещение:
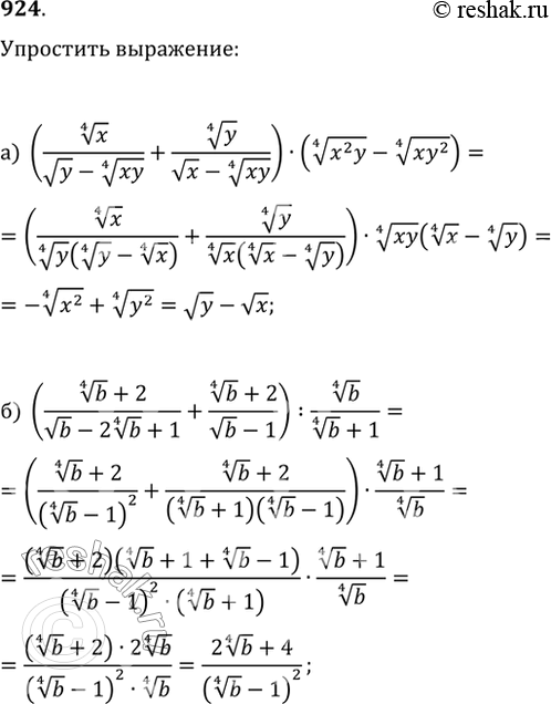
924. Упростите выражение:
а) (x^(1/4)/(vy-(xy)^(1/4))+y^(1/4)/(vx-(xy)^(1/4)))·((x^2 y)^(1/4)-(xy^2)^(1/4));
б) ((b^(1/4)+2)/(vb-2b^(1/4)+1)+(b^(1/4)+2)/(vb-1)):b^(1/4)/(b^(1/4)+1);
в) x^(1/3)/(x^(1/3)+2x^(1/6))+(2(x^5)^(1/6))/(x+2(x^5)^(1/6));
г) ((y^5)^(1/5)+2(y^4)^(1/5)+4(y^3)^(1/5))/((y^4)^(1/5)+4(y^2)^(1/5)+16)+8/((y^2)^(1/5)-2y^(1/5)+4).
*размещая тексты в комментариях ниже, вы автоматически соглашаетесь с пользовательским соглашением