Упр.9.32 ГДЗ Мерзляк 10 класс Базовый уровень (Алгебра)
Решение #1

Рассмотрим вариант решения задания из учебника Мерзляк, Номировский, Полонский 10 класс, Вентана-Граф:
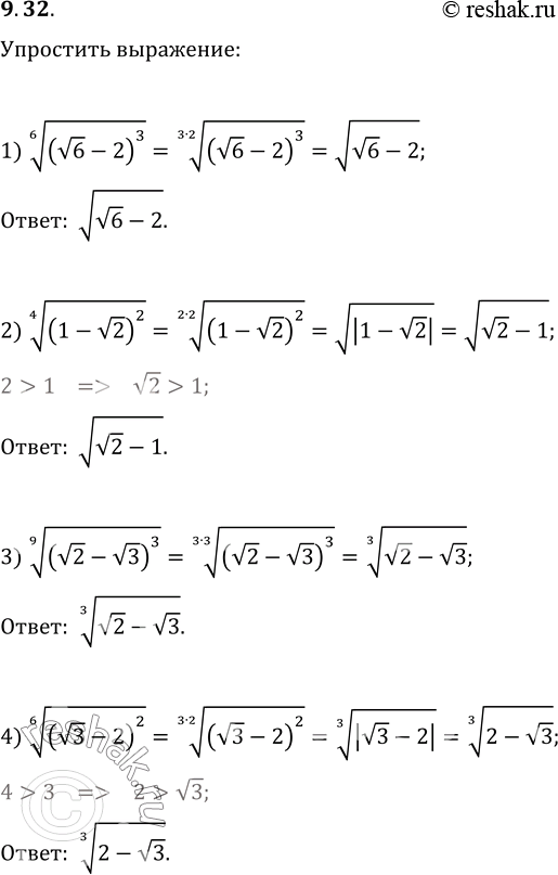
9.32. Упростите выражение:
1) ((v6-2)^3)^(1/6); 3) ((v2-v3)^3)^(1/9);
2) ((1-v2)^2)^(1/4); 4) ((v3-2)^2)^(1/6).
*размещая тексты в комментариях ниже, вы автоматически соглашаетесь с пользовательским соглашением