Упр.8.15 ГДЗ Рабочая тетрадь Зубарева Мордкович 6 класс Экзамен (Математика)
Решение #1

Рассмотрим вариант решения задания из учебника Ерина, Зубарева, Мордкович 6 класс, Экзамен:
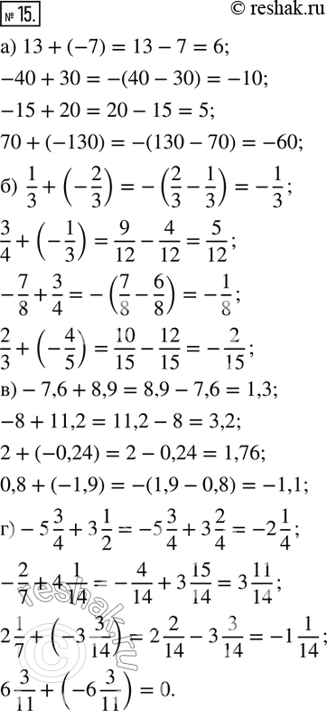
15. Вычислите:
а) 13+(-7); в) -7,6+8,9;
-40+30; -8+11,2;
-15+20; 2+(-0,24);
70+(-130); 0,8+(-1,9);
б) 1/3+(-2/3); г) -5 3/4+3 1/2;
3/4+(-1/3); -2/7 +4 1/14;
-7/8+3/4; 2 1/7+(-3 3/14);
2/3+(-4/5); 6 3/11+(-6 3/11).
*размещая тексты в комментариях ниже, вы автоматически соглашаетесь с пользовательским соглашением