Упр.733 ГДЗ Колягин Ткачёва 10 класс (Алгебра)
Решение #1
Решение #2

Рассмотрим вариант решения задания из учебника Колягин, Ткачёва, Фёдорова 10 класс, Просвещение:
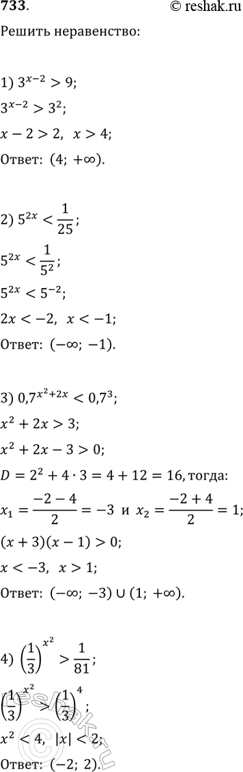
733. Решить неравенство:
1) 3^(x-2)>9
2) 5^2x<1/25
3) 0,7^(x^2+2x)<0,7^3
4) (1/3)^(x^2)>1/81
*размещая тексты в комментариях ниже, вы автоматически соглашаетесь с пользовательским соглашением