Упр.450 ГДЗ Колягин Ткачёва 10 класс (Алгебра)
Решение #1
Решение #2

Рассмотрим вариант решения задания из учебника Колягин, Ткачёва, Фёдорова 10 класс, Просвещение:
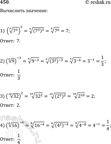
Вычислить (450—451).
450. 1) (корень 6 степени 7^3)2;
2) (корень 6 степени 9)^-3;
3) (корень 10 степени 32)2;
4) (корень 8 степени 16)^-4.
*размещая тексты в комментариях ниже, вы автоматически соглашаетесь с пользовательским соглашением