Упр.35.5 ГДЗ Мерзляк 10 класс Базовый уровень (Алгебра)
Решение #1

Рассмотрим вариант решения задания из учебника Мерзляк, Номировский, Полонский 10 класс, Вентана-Граф:
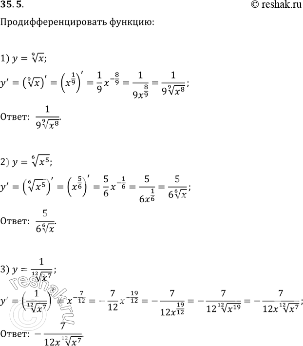
35.5. Продифференцируйте функцию:
1) y=x^(1/9); 2) y=x^(5/6); 3) y=1/x^(7/12).
*размещая тексты в комментариях ниже, вы автоматически соглашаетесь с пользовательским соглашением