Упр.344 ГДЗ Колягин Ткачёва 10 класс (Алгебра)
Решение #1
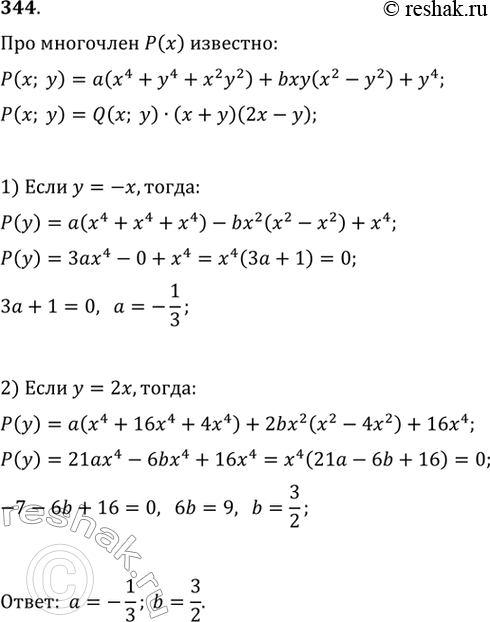
Решение #2

Рассмотрим вариант решения задания из учебника Колягин, Ткачёва, Фёдорова 10 класс, Просвещение:
344. При каких значениях а и b многочлен а(х4 + у4 + х2у2) + + bху(х2 - у2) + y4 делится на (х + у)(2х - у)?
*размещая тексты в комментариях ниже, вы автоматически соглашаетесь с пользовательским соглашением