Упр.24.5 ГДЗ Рабочая тетрадь Зубарева Мордкович 6 класс Экзамен (Математика)
Решение #1

Рассмотрим вариант решения задания из учебника Ерина, Зубарева, Мордкович 6 класс, Экзамен:
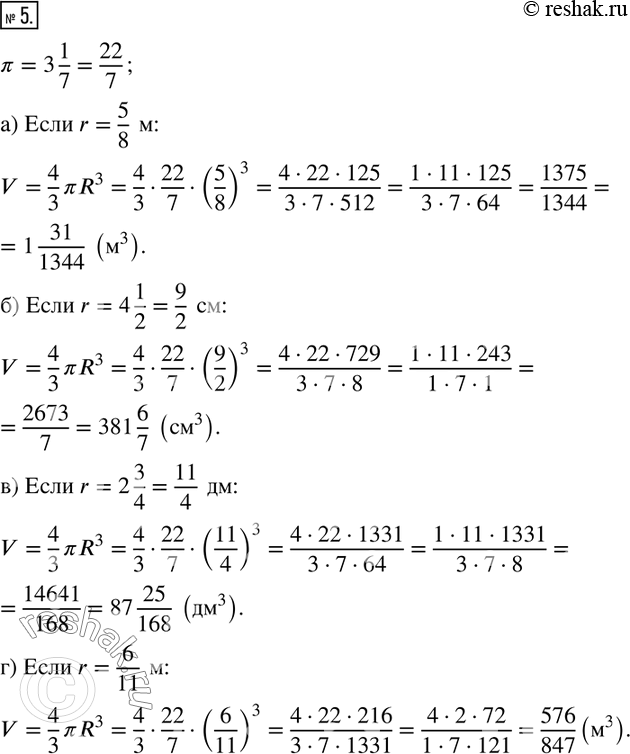
5. Считая ? равным 3 1/7 найдите объём шара, если его радиус равен:
а) 5/8 м; б) 4 1/2 см; в) 2 3/4 дм; г) 6/11 м.
*размещая тексты в комментариях ниже, вы автоматически соглашаетесь с пользовательским соглашением