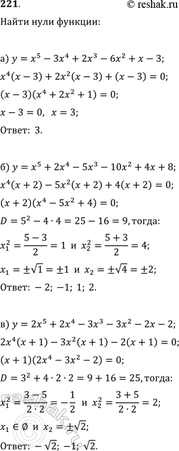
Упр.221 ГДЗ Макарычев Миндюк 9 класс (Углубленный) (Алгебра)
Решение #1

Рассмотрим вариант решения задания из учебника Макарычев, Миндюк, Нешков 9 класс, Просвещение:
221. Найдите нули функции:
а) y=x^5-3x^4+2x^3-6x^2+x-3;
б) y=x^5+2x^4-5x^3-10x^2+4x+8;
в) y=2x^5+2x^4-3x^3-3x^2-2x-2.
*размещая тексты в комментариях ниже, вы автоматически соглашаетесь с пользовательским соглашением