Упр.212 ГДЗ Дорофеев Шарыгин 6 класс (Математика)
Решение #1

Рассмотрим вариант решения задания из учебника Дорофеев, Шарыгин, Суворова 6 класс, Просвещение:
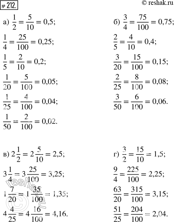
212. Приведите дроби к одному из знаменателей 10 или 100 и запишите соответствующие десятичные дроби:
а) 1/2, 1/4, 1/5, 1/20, 1/25, 1/50;
б) 3/4, 2/5, 3/20, 2/25, 3/50;
В) 2 1/2, 3 1/4, 1 7/20, 4 4/25;
г) 3/2, 9/4, 63/20, 51/25.
*размещая тексты в комментариях ниже, вы автоматически соглашаетесь с пользовательским соглашением