Упр.199 ГДЗ Никольский Потапов 6 класс (Математика)
Решение #1

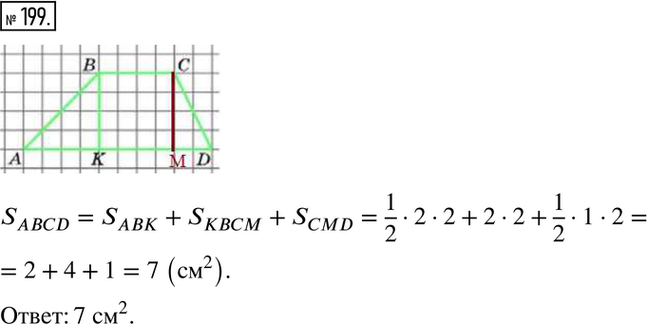
Рассмотрим вариант решения задания из учебника Никольский, Потапов, Решетников 6 класс, Просвещение:
199. На рисунке 27 изображена трапеция (четырёхугольник, две стороны которого параллельны, а две другие — не параллельны). Вычислите её площадь, если AD = 5 см, ВС = 2 см, ВК = 2 см.
*размещая тексты в комментариях ниже, вы автоматически соглашаетесь с пользовательским соглашением