Упр.184 ГДЗ Колягин Ткачёва 10 класс (Алгебра)
Решение #1
Решение #2

Рассмотрим вариант решения задания из учебника Колягин, Ткачёва, Фёдорова 10 класс, Просвещение:
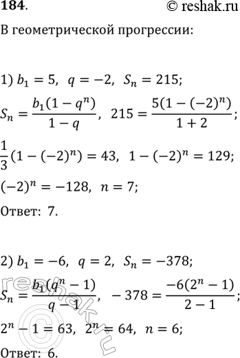
184. Найти число n членов геометрической прогрессии, если:
1) b1 = 5, q = -2, Sn = -215;
2) b1 = -6, q = 2, Sn = -378.
*размещая тексты в комментариях ниже, вы автоматически соглашаетесь с пользовательским соглашением