Упр.16.19 ГДЗ Мерзляк 10 класс Базовый уровень (Алгебра)
Решение #1

Рассмотрим вариант решения задания из учебника Мерзляк, Номировский, Полонский 10 класс, Вентана-Граф:
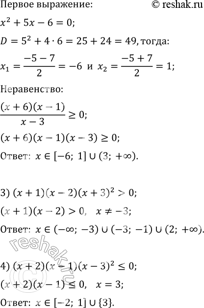
16.19. Найдите множество решений неравенства:
1) (x^2-2x)/(x+2)?3; 3) (x+1)(x-2)(x+3)^2>0;
2) (x^2+3x)/(x-3)?-2; 4) (x+2)(x-1)(x-3)^2?0.
*размещая тексты в комментариях ниже, вы автоматически соглашаетесь с пользовательским соглашением