Упр.1305 ГДЗ Макарычев Миндюк 9 класс (Углубленный) (Алгебра)
Решение #1

Рассмотрим вариант решения задания из учебника Макарычев, Миндюк, Нешков 9 класс, Просвещение:
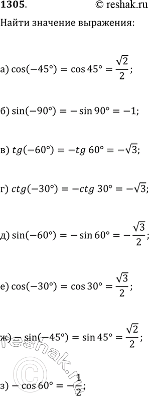
1305. Найдите значение выражения:
а) cos(-45°); в) tg(-60°); д) sin(-60°); ж) -sin(-45°);
б) sin(-90°); г) ctg(-30°); е) cos(-30°); з) -cos(60°).
*размещая тексты в комментариях ниже, вы автоматически соглашаетесь с пользовательским соглашением