Упр.1027 ГДЗ Никольский Потапов 6 класс (Математика)
Решение #1

Рассмотрим вариант решения задания из учебника Никольский, Потапов, Решетников 6 класс, Просвещение:
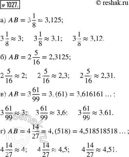
1027. Длина отрезка AB равна:
а) 3 1/8; б) 2 5/16; в) 3 61/99; г) 4 14/27.
Выразите длину отрезка десятичной дробью с точностью до 1; до 0,1; до 0,01 с недостатком.
*размещая тексты в комментариях ниже, вы автоматически соглашаетесь с пользовательским соглашением