Упр.10.2 ГДЗ Мерзляк 10 класс Базовый уровень (Алгебра)
Решение #1

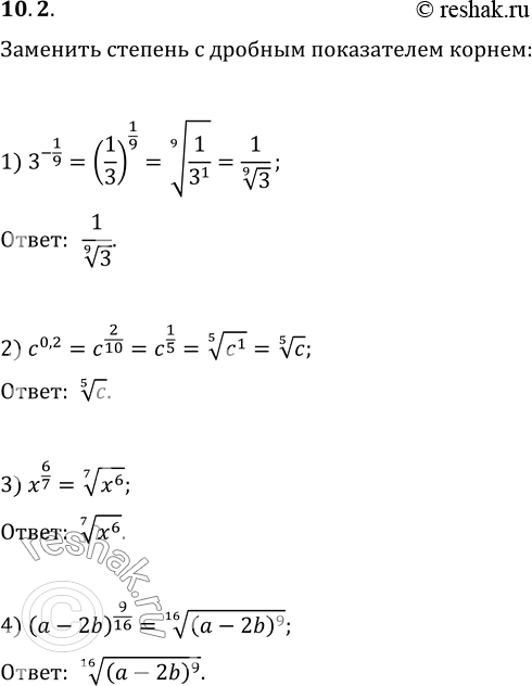
Рассмотрим вариант решения задания из учебника Мерзляк, Номировский, Полонский 10 класс, Вентана-Граф:
10.2. Замените степень с дробным показателем корнем:
1) 3^(-1/9); 2) c^0,2; 3) x^(6/7); 4) (a-2b)^(9/16).
*размещая тексты в комментариях ниже, вы автоматически соглашаетесь с пользовательским соглашением